设为首页收藏本站

僚人家园

 找回密码
 注册

QQ登录

只需一步,快速开始

点击进入授权页面

只需一步,快速开始

扫一扫,访问微社区

搜索
查看: 13777|回复: 10
打印 上一主题 下一主题

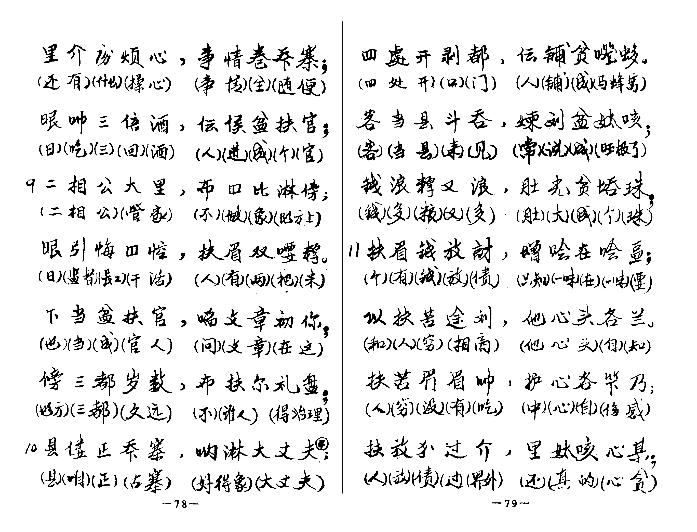
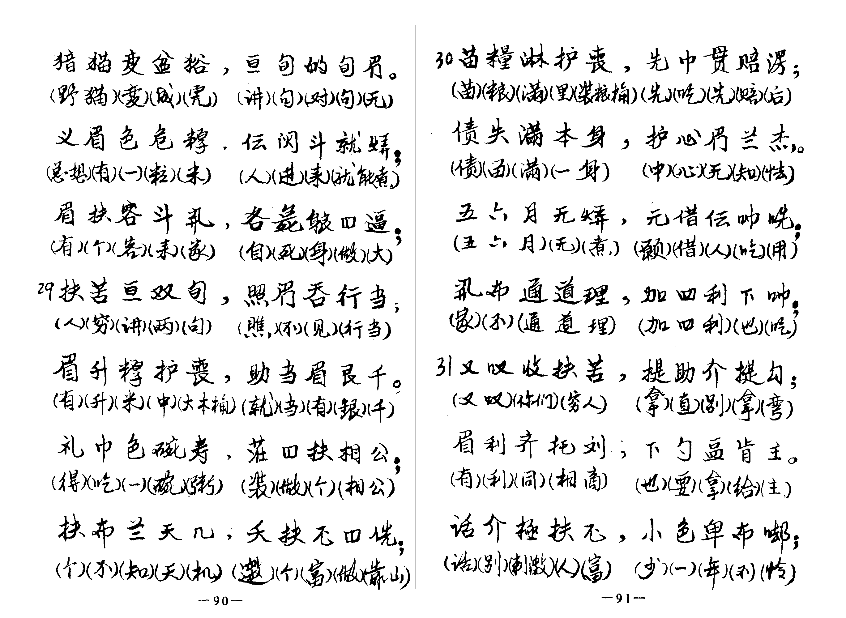
《传扬歌》古壮字抄本

[复制链接]

803

主题

1

听众

3万

积分

超级版主

Rank: 13Rank: 13Rank: 13Rank: 13Rank: 13Rank: 13Rank: 13Rank: 13Rank: 13Rank: 13Rank: 13Rank: 13Rank: 13

最后登录
2017-3-29
注册时间
2002-7-5
跳转到指定楼层
楼主
发表于 2004-10-13 17:20:00 |只看该作者 |倒序浏览

选自《古壮字文献选注》


踩过的脚印
分享到: QQ空间QQ空间 腾讯微博腾讯微博 腾讯朋友腾讯朋友 微信微信
转播转播0 分享淘帖0 分享分享0 收藏收藏0 支持支持0 反对反对0
帖子永久地址: 

僚人家园 - 论坛声明1、本主题所有言论和图片仅代表作者个人的立场,不代表本论坛管理方立场。
2、本站所有主题由该帖子作者发表,该帖子作者与僚人家园享有帖子相关版权
3、其他单位或个人使用或转载本论坛原创文章时须征得作者本人及僚人家园论坛管理员的同意
4、发帖者承担因本文发表而直接或间接导致的相关责任。僚人家园管理团队有事先不通知发帖者而删除或屏蔽本文的权利。

回复

使用道具 举报

803

主题

1

听众

3万

积分

超级版主

Rank: 13Rank: 13Rank: 13Rank: 13Rank: 13Rank: 13Rank: 13Rank: 13Rank: 13Rank: 13Rank: 13Rank: 13Rank: 13

最后登录
2017-3-29
注册时间
2002-7-5
沙发
发表于 2004-10-13 17:25:00 |只看该作者

回复

使用道具 举报

803

主题

1

听众

3万

积分

超级版主

Rank: 13Rank: 13Rank: 13Rank: 13Rank: 13Rank: 13Rank: 13Rank: 13Rank: 13Rank: 13Rank: 13Rank: 13Rank: 13

最后登录
2017-3-29
注册时间
2002-7-5
板凳
发表于 2004-10-13 17:39:00 |只看该作者

回复

使用道具 举报

803

主题

1

听众

3万

积分

超级版主

Rank: 13Rank: 13Rank: 13Rank: 13Rank: 13Rank: 13Rank: 13Rank: 13Rank: 13Rank: 13Rank: 13Rank: 13Rank: 13

最后登录
2017-3-29
注册时间
2002-7-5
地板
发表于 2004-10-13 17:43:00 |只看该作者

回复

使用道具 举报

803

主题

1

听众

3万

积分

超级版主

Rank: 13Rank: 13Rank: 13Rank: 13Rank: 13Rank: 13Rank: 13Rank: 13Rank: 13Rank: 13Rank: 13Rank: 13Rank: 13

最后登录
2017-3-29
注册时间
2002-7-5
5#
发表于 2004-10-13 17:50:00 |只看该作者

回复

使用道具 举报

149

主题

0

听众

8751

积分

版主

Rank: 12Rank: 12Rank: 12Rank: 12Rank: 12Rank: 12Rank: 12Rank: 12Rank: 12Rank: 12Rank: 12Rank: 12

最后登录
2014-4-24
注册时间
2003-7-19
6#
发表于 2004-10-13 22:43:00 |只看该作者

翻译、研究《传扬歌》的权威---中央民族大学原副校长、全国著名的民族学专家梁庭望教授

他说近年在马山发现了28部壮族古方块《传扬歌》手抄本,《传扬歌》用歌词来记录传统的伦理道德,并相互传唱,宣扬美好高尚的道德情操。其中有4部是古老的壮族山歌,24部是根据汉族《二十四孝》改编,加入了壮族自己的内容。


手脚不勤草满天,嘴巴不勤口水咸。 早晚开口唱山歌,山歌要比亲嘴甜。
回复

使用道具 举报

80

主题

1

听众

5466

积分

东灵神

Rank: 12Rank: 12Rank: 12Rank: 12Rank: 12Rank: 12Rank: 12Rank: 12Rank: 12Rank: 12Rank: 12Rank: 12

最后登录
2016-8-23
注册时间
2007-5-16
7#
发表于 2009-1-27 13:17:00 |只看该作者
我能拥有多好呀!!

我一直以为我讲的话也是壮语。可当我来到这个僚人家园后我很迷茫。我发现壮语和我所讲的天等话相差太远了。总有人要我放弃天等话学所谓的壮语。我很痛。
回复

使用道具 举报

180

主题

2

听众

2万

积分

版主

Rank: 12Rank: 12Rank: 12Rank: 12Rank: 12Rank: 12Rank: 12Rank: 12Rank: 12Rank: 12Rank: 12Rank: 12

最后登录
2019-7-18
注册时间
2002-5-23
8#
发表于 2009-1-27 13:26:00 |只看该作者
《传扬歌》是听说很久,但一直没有目睹。遗憾!

土地 民族 家园 母亲 http://blog.163.com/gaisi144
回复

使用道具 举报

0

主题

0

听众

1

积分

新来贝侬

Rank: 1

最后登录
2014-10-7
注册时间
2014-10-7
9#
发表于 2014-10-7 11:09:26 |只看该作者
本帖最后由 蓝天飞雨 于 2014-10-7 11:11 编辑

我可以用极品五笔输入法把这些壮文打出来!E:\我的数据\桌面\壮族山歌.jpg

本帖子中包含更多资源

您需要 登录 才可以下载或查看,没有帐号?注册  

点评

达双  怎么做到的,强呀。  详情 回复 发表于 2014-10-19 00:02
回复

使用道具 举报

16

主题

1

听众

312

积分

水精灵

Rank: 4Rank: 4Rank: 4Rank: 4

最后登录
2015-4-18
注册时间
2013-8-2
10#
发表于 2014-10-18 13:28:21 |只看该作者
极品五笔比海峰五笔还厉害?

Hag Saw Cuengh, gyaez Boux Raeuz 欢迎关注布依布壮语微信公众帐号:sawmos
回复

使用道具 举报

0

主题

0

听众

13

积分

土精灵

Rank: 2Rank: 2

最后登录
2014-10-24
注册时间
2014-9-27
11#
发表于 2014-10-19 00:02:39 |只看该作者
蓝天飞雨 发表于 2014-10-7 11:09
我可以用极品五笔输入法把这些壮文打出来!

怎么做到的,强呀。

回复

使用道具 举报

您需要登录后才可以回帖 登录 | 注册  

允许回帖同步到新浪微博  

Archiver|手机版|壮族在线    

GMT+8, 2025-12-14 07:53 , Processed in 0.135961 second(s), 52 queries .

Powered by Discuz! X2.5

© 2001-2012 Comsenz Inc.

回顶部